校务公开

  • 2025年无锡光华学校招生规范声明暨重要公告

    为严格贯彻落实无锡市教育局2025年招生工作指导精神,维护公平公正的招生秩序,我校现就招生相关事宜作出如下严正声明,请广大家长仔细阅知并警惕各类不实信息。

    575 2025-06-11
  • 关于规范办学行为的公示

    为贯彻落实“五项管理”“五项规范”要求,现对学校规范办学相关工作公示如下

    34 2026-03-04
  • 体质健康四率

    40 2026-01-06
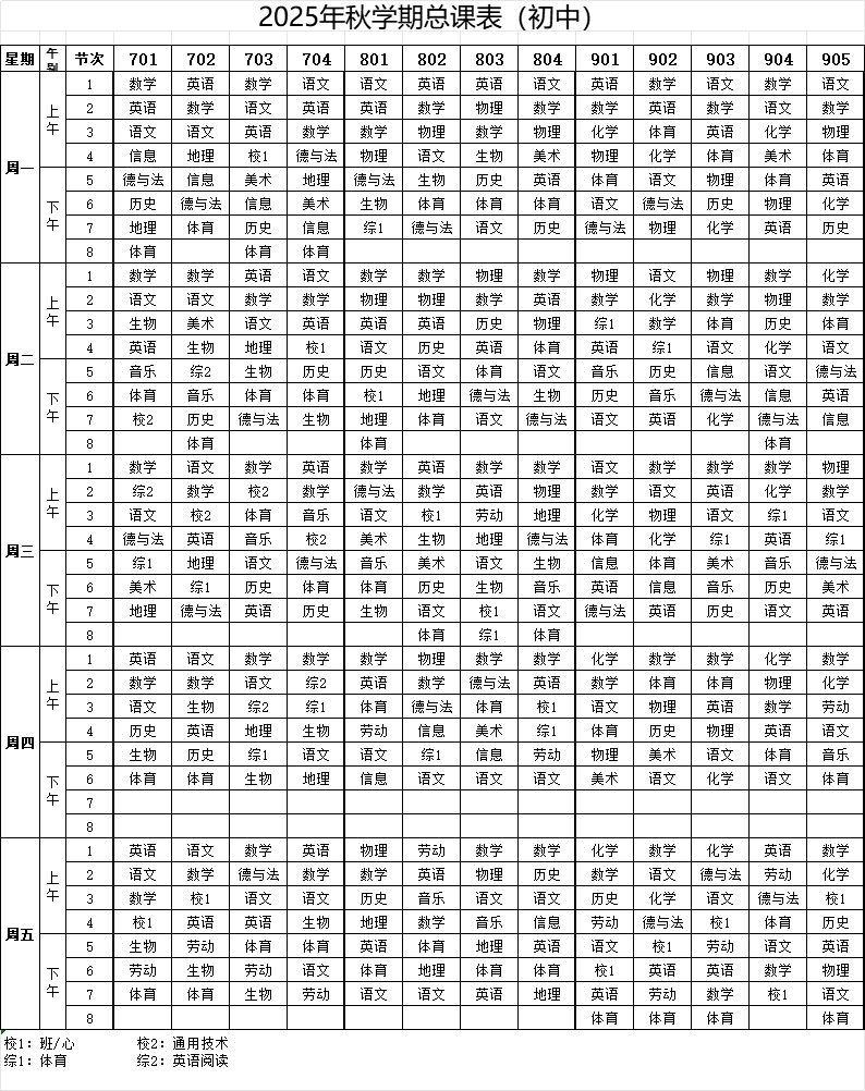
  • 体育老师体育课总表

    40 2026-01-06
  • 向教育强省阔步前行|无锡:“十四五”教育发展巡礼

    为深入学习贯彻党的二十届四中全会精神和全国、全省教育大会精神,展现江苏在教育强国建设中“走在前、作示范”的探索实践,“江苏教育发布”开设“‘十四五’教育发展巡礼·大家谈”专栏,以笔谈、访谈等形式,呈现各地各校“十四五”期间的亮点工作和典型经验,以及对“十五五”规划的思考。



    一起来看无锡经验——

    53 2026-01-05

专题栏目